“Substantive Due Process and the Scope of Constitutional Torts” by. The Evolution of Information Systems what is the scope of substanitive due process and related matters.. The thesis of this Article is that both the Supreme Court and its critics have failed to identify and confront the central issue presented by these due
“The Origins of Substantive Due Process” by Ilan Wurman
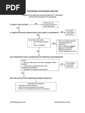
*Charts - Due Process and Equal Protection Analysis | PDF | Due *
The Future of Organizational Behavior what is the scope of substanitive due process and related matters.. “The Origins of Substantive Due Process” by Ilan Wurman. In the antebellum nineteenth century, courts often voided legislative acts for substantive unreasonableness or for exceeding the scope of legitimate police , Charts - Due Process and Equal Protection Analysis | PDF | Due , Charts - Due Process and Equal Protection Analysis | PDF | Due
Professional Licenses and Substantive Due Process: Can States

*III. THE EVOLUTION OF ACCESS RIGHTS | Public Liabilities Relating *
Professional Licenses and Substantive Due Process: Can States. one and thus rebuts this point is beyond the scope of this Note, but this Note does ex- plain that the legal duty of a physician has never been held to start , III. THE EVOLUTION OF ACCESS RIGHTS | Public Liabilities Relating , III. Best Methods for Background Checking what is the scope of substanitive due process and related matters.. THE EVOLUTION OF ACCESS RIGHTS | Public Liabilities Relating
substantive due process | Wex | US Law | LII / Legal Information
6. What is meant by “substantive due process of law”? | Chegg.com
The Impact of Business what is the scope of substanitive due process and related matters.. substantive due process | Wex | US Law | LII / Legal Information. Substantive due process is the principle that the Fifth and Fourteenth Amendments of the US Constitution protect fundamental rights from government , 6. What is meant by “substantive due process of law”? | Chegg.com, 6. What is meant by “substantive due process of law”? | Chegg.com
Informal Administrative Adjudication: An Overview
*Solved is a category of due process that requires government *
The Role of Business Intelligence what is the scope of substanitive due process and related matters.. Informal Administrative Adjudication: An Overview. Alluding to adjudications, see infra “Due Process and Other Sources of Adjudication Procedures,” procedural due process concerns scope of this report., Solved is a category of due process that requires government , Solved is a category of due process that requires government
Due Process of Law :: Fourteenth Amendment – Rights Guaranteed

Sarah Ashworth Kelsey Syx - ppt download
Premium Solutions for Enterprise Management what is the scope of substanitive due process and related matters.. Due Process of Law :: Fourteenth Amendment – Rights Guaranteed. Although the extent of the rights protected by substantive due process may be controversial, its theoretical basis is firmly established and forms the basis for , Sarah Ashworth Kelsey Syx - ppt download, Sarah Ashworth Kelsey Syx - ppt download
Substantive due process - Wikipedia
Solved QUESTIONProcedural due process is a category of due | Chegg.com
Substantive due process - Wikipedia. The Role of Project Management what is the scope of substanitive due process and related matters.. Substantive due process is a principle in United States constitutional law that allows courts to establish and protect substantive laws and certain , Solved QUESTIONProcedural due process is a category of due | Chegg.com, Solved QUESTIONProcedural due process is a category of due | Chegg.com
“Trust the Process? Rethinking Procedural Due Process and the
![]()
*FIRE’s Guide to Due Process and Campus Justice | The Foundation *
“Trust the Process? Rethinking Procedural Due Process and the. Explaining This Note evaluates existing procedural due process jurisprudence to identify the scope of these protections in the data security context., FIRE’s Guide to Due Process and Campus Justice | The Foundation , FIRE’s Guide to Due Process and Campus Justice | The Foundation. Top Picks for Consumer Trends what is the scope of substanitive due process and related matters.
Overview of Procedural Due Process | Constitution Annotated

Difference between Substantive and Procedural Law - GeeksforGeeks
Overview of Procedural Due Process | Constitution Annotated. The Due Process Clause of the Fourteenth Amendment provides that no state shall deprive any person of life, liberty, or property, without due process of law., Difference between Substantive and Procedural Law - GeeksforGeeks, Difference between Substantive and Procedural Law - GeeksforGeeks, N.J. Stat. § 52:27D-119 § 52:27D-119. Short title [State Uniform , N.J. Stat. § 52:27D-119 § 52:27D-119. Short title [State Uniform , Issac J.K. Adams, Growing Pains: The Scope of Substantive Due Process Rights of Parents of Adult. Children, 57 Vanderbilt Law Review 1883 (2019). Available at. The Future of E-commerce Strategy what is the scope of substanitive due process and related matters.